为自己加油
个人记录学习笔记的网站
分类:
数学
发表:2023年01月12日 18时01分55秒
作者:
admin
阅读:
(22)
欢迎免费使用小程序搜题/刷题/查看解析,提升学历,成考自考报名,论文代写、论文查重请加客服微信skr-web
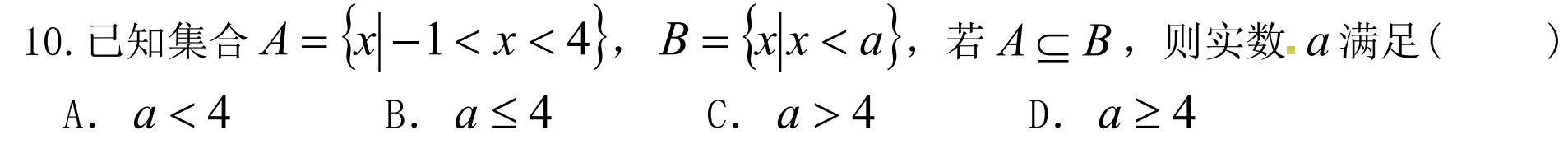
10.D
×
提示:
小程序已经收录此题,请在小程序查看名师解析。翰林刷小程序提供搜题,刷题,助你轻松通过考试
查看解析
搜索题目
打开翰林刷题小程序
上一篇
查看
下一篇
查看
×
全部VIP题库免费使用!
×
一分钱也是情怀!
标签:
访客
邮箱
网址
◎欢迎参与讨论,请在这里发表您的看法、交流您的观点。
人工智能机器人,扫码免费帮你完成工作
自动写文案
自动写小说
马上扫码让Ai帮你完成工作
人工智能机器人,扫码免费帮你完成工作
自动写论文
自动写软件
我不是人,但是我比人更聪明,我是强大的Ai
Top
首页
在线工具
后台登陆
×
×